• Product
  • Suppliers
  • Manufacturers
  • Solutions
  • Free tools
  • Knowledges
  • Experts
  • Communities
Search


Free Expert Guides on Power Systems, Circuit Design & Electrical Troubleshooting

Access free engineering resources from IEE Business—covering power design, circuit layout, equipment selection, and troubleshooting. Expert-developed guides help engineers, procurement, and project teams make better decisions. Stay ahead on smart grids, renewables, efficiency, and AI tools. Improve reliability, reduce downtime, and enhance outcomes with real-world solutions. Explore our knowledge hub today.
Low Resistivity and High Conductivity Materials: An Overview
A low resistivity or high conductivity material is defined as a material that allows electric current to flow easily through it. These materials are very useful in electrical engineering for manufacturing electrical machines, equipment, and devices. They are also used as conductors for all kinds of windings required in electrical machines, apparatus, and devices. Moreover, they are used as conductors in transmission and distribution of electrical energy.Properties of Low Resistivity or High Cond
03/14/2024
Consult
Tip
Consult
Tip
Properties of Electrical Conductors
An electrical conductor is a material that allows electric charges to move through it easily when subjected to a potential difference. Electrical conductors are essential for many applications, such as wiring, transmission lines, electrical machines, heating elements, electrostatic shielding, and more. In this article, we will explore the properties of electrical conductors, their types, examples, and applications.What is an Electrical Conductor?An electrical conductor is defined as a material t
03/14/2024
Consult
Tip
Consult
Tip
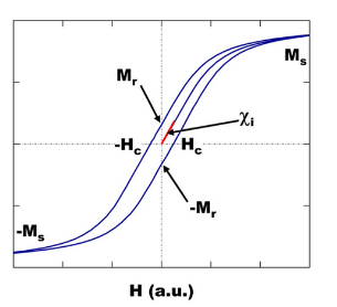
Hard Magnetic Materials
For understanding the hard magnetic materials, we have to know certain terms. They are as follows: Coercivity:The capability of aferromagnetic materialto hold up (resist) a peripheralmagnetic fieldwithout getting demagnetized. Retentivity (Br):It is the amount of magnetism that a ferromagnetic material can maintain even after themagnetic fieldis decreased to zero. Permeability:It is used to determine how a material reacts to the applied magnetic field. Magnetic materials are mainly classified (b
03/14/2024
Consult
Tip
Consult
Tip
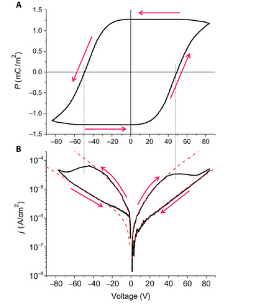
Ferroelectric Materials: What Are They?
What are Ferroelectric Materials?Ferroelectric materials are materials that exhibit Ferroelectricity. Ferroelectricity is the ability of the material to have a spontaneous electric polarization. This polarization can be reversed by the application of an external electric field in the opposite direction (figure 1 below). Ferroelectricity (and hence Ferroelectric materials) was discovered by Rochelle salt by Valasek in 1921.The reversal of polarity of a ferroelectric material via the application o
03/14/2024
Consult
Tip
Consult
Tip
Soft Magnetic Materials
First of all we need to keep certain points in mind before defining the soft magnetic materials. Remanent Induction:It is actually the value of induction which residue, once the material is magnetized and then the magnetizing field is decreased to zero. It is denoted by Br. Coercive Force:It is the amount of negativemagnetic fieldwhich is essential to decrease the remanent induction to zero. It is denoted by Hc. The total area of thehysteresis loop= the energy which is dissipated when a material
03/14/2024
Consult
Tip
Consult
Tip
Cold Rolled Grain Oriented (CRGO) Silicon Steel | Properties Applications
The addition of silicon(Si) in iron(Fe) in right proportions with the help of certain manufacturing process significantly improves the magnetic and electrical properties of iron. By the end of 19th century, it was discovered that the addition of silicon to iron significantly improves the resistivity of iron and so silicon steel or what we know today as electrical steel was developed. It not only brought down the eddy current losses in steel, but significant improvement in magnetic permeability a
03/14/2024
Consult
Tip
Consult
Tip
Properties of Superconductors
The superconducting material shows some extraordinary properties which make them very important for modern technology. The research is still going on to understand and utilise these extraordinary properties of superconductors in various fields of technology. Such properties of superconductors are listed below- ZeroElectric Resistance(Infinite Conductivity) Meissner Effect: Expulsion ofmagnetic field Critical Temperature/Transition Temperature Critical Magnetic Field Persistent Currents Josephson
03/14/2024
Consult
Tip
Consult
Tip
What is Superconductivity?
Superconductivity was discovered by Dutch Physicist Heike Kamerlingh Onnes in 1911 in Leiden. He was awarded the Nobel Prize in Physics in 1913 for his low-temperature research. Some materials when they are cooled, below certain temperature their resistivity get abolished means they exhibit the infinite conductivity.The property / phenomenon of infinite conductivity in materials is calledsuperconductivity.The temperature at which the metals change from normal conducting state to superconducting
03/14/2024
Consult
Tip
Consult
Tip
Comparison of Type – I and Type – II Superconductors
Based on the behavior and properties of Superconductors, these are classified into two categories-(1) Type – I Superconductors: Low Temperature Superconductors.(2) Type – II Superconductors: High Temperature Superconductors.td{width:49%}Type – I and Type – II superconductors slightly different in their behavior and properties. The comparison of type-I and type – II superconductors is shown in the table below Type – I Superconductors Type – II Superconductors Low critical temperature
03/14/2024
Consult
Tip
Consult
Tip
Meissner Effect and Application of Meissner Effect
When Superconductors, are cooled below the critical temperature, they expel magnetic field and do not allow the magnetic field to penetrate inside them. This phenomenon in superconductors is called Meissner effect. This phenomenon was discovered by German physicists “Walther Meissner” and “Robert Ochsenfeld” in 1933. During an experiment, they measured the magnetic field outside the superconducting Tin and Lead samples. They observed that when the sample got cooled below the transition (critical
03/14/2024
Consult
Tip
Consult
Tip
Send inquiry
+86
Click to upload file
Download
Get the IEE Business Application
Use the IEE-Business app to find equipment, obtain solutions, connect with experts, and participate in industry collaboration anytime, anywhere—fully supporting the development of your power projects and business.